跳转至

AVL 树

AVL 树,是一种平衡的二叉搜索树.由于各种算法教材上对 AVL 的介绍十分冗长,造成了很多人对 AVL 树复杂、不实用的印象.但实际上,AVL 树的原理简单,实现也并不复杂.

性质

  1. 空二叉树是一个 AVL 树
  2. 如果 T 是一棵 AVL 树,那么其左右子树也是 AVL 树,并且 |h(ls)h(rs)|1,h 是其左右子树的高度
  3. 树高为 O(logn)

平衡因子:右子树高度 - 左子树高度

树高的证明

fn 为高度为 n 的 AVL 树所包含的最少节点数,则有

fn={1(n=1)2(n=2)fn1+fn2+1(n>2)

根据常系数非齐次线性差分方程的解法,{fn+1} 是一个斐波那契数列.这里 fn 的通项为:

fn=5+255(1+52)n+5255(152)n1

斐波那契数列以指数的速度增长,对于树高 n 有:

n<log1+52(fn+1)<32log2(fn+1)

因此 AVL 树的高度为 O(logfn),这里的 fn 为结点数.

过程

插入结点

与 BST(二叉搜索树)中类似,先进行一次失败的查找来确定插入的位置,插入节点后根据平衡因子来决定是否需要调整.

删除结点

删除和 BST 类似,将结点与后继交换后再删除.

删除会导致树高以及平衡因子变化,这时需要沿着被删除结点到根的路径来调整这种变化.

平衡的维护

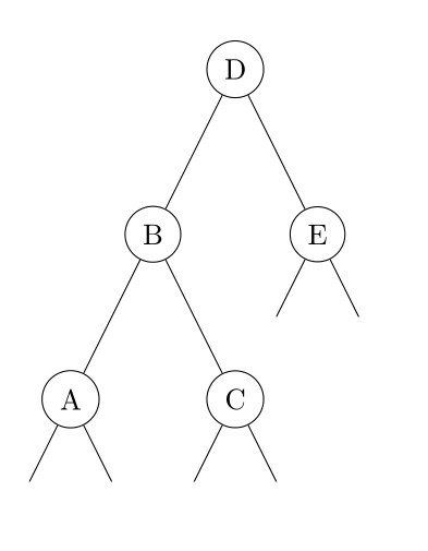
插入或删除节点后,可能会造成 AVL 树的性质 2 被破坏.因此,需要沿着从被插入/删除的节点到根的路径对树进行维护.如果对于某一个节点,性质 2 不再满足,由于我们只插入/删除了一个节点,对树高的影响不超过 1,因此该节点的平衡因子的绝对值至多为 2.由于对称性,我们在此只讨论左子树的高度比右子树大 2 的情况,即下图中 h(B)h(E)=2.此时,还需要根据 h(A)h(C) 的大小关系分两种情况讨论.需要注意的是,由于我们是自底向上维护平衡的,因此对节点 D 的所有后代来说,性质 2 仍然是被满足的.

情况一:A 点树高不小于 C 点树高

h(E)=x,则有

{h(B)=x+2h(A)=x+1xh(C)x+1

其中 h(C)x 是由于节点 B 满足性质 2,因此 h(C)h(A) 的差不会超过 1.此时我们对节点 D 进行一次右旋操作(旋转操作与其它类型的平衡二叉搜索树相同),如下图所示.

显然节点 A、C、E 的高度不发生变化,并且有

{0h(C)h(E)1x+1h(D)=max(h(C),h(E))+1=h(C)+1x+20h(D)h(A)1

因此旋转后的节点 B 和 D 也满足性质 2.

情况二:A 点树高小于 C 点树高

h(E)=x,则与刚才同理,有

{h(B)=x+2h(C)=x+1h(A)=x

此时我们先对节点 B 进行一次左旋操作,再对节点 D 进行一次右旋操作,如下图所示.

显然节点 A、E 的高度不发生变化,并且 B 的新右儿子和 D 的新左儿子分别为 C 原来的左右儿子,则有

{x1h(rsB),h(lsD)x0h(A)h(rsB)10h(E)h(lsD)1h(B)=max(h(A),h(rsB))+1=x+1h(D)=max(h(E),h(lsD))+1=x+1h(B)h(D)=0

因此旋转后的节点 B、C、D 也满足性质 2.

维护平衡操作:伪代码 1function MaintainBalance(p)2llsp,rrsp3if h(l)h(r)=24if h(lsl)h(rsl)5RightRotate(p)6else7LeftRotate(l)8RightRotate(p)9else if h(l)h(r)=210if h(lsr)h(rsr)11LeftRotate(p)12else13RightRotate(r)14LeftRotate(p)

与其他平衡二叉搜索树相同,AVL 树中节点的高度、子树大小等信息需要在旋转时进行维护.

其他操作

AVL 树的其他操作(Predecessor、Successor、Select、Rank 等)与普通的二叉搜索树相同.

参考代码

下面的代码是用 AVL 树实现的 Map,即有序不可重映射:

参考代码
  1
  2
  3
  4
  5
  6
  7
  8
  9
 10
 11
 12
 13
 14
 15
 16
 17
 18
 19
 20
 21
 22
 23
 24
 25
 26
 27
 28
 29
 30
 31
 32
 33
 34
 35
 36
 37
 38
 39
 40
 41
 42
 43
 44
 45
 46
 47
 48
 49
 50
 51
 52
 53
 54
 55
 56
 57
 58
 59
 60
 61
 62
 63
 64
 65
 66
 67
 68
 69
 70
 71
 72
 73
 74
 75
 76
 77
 78
 79
 80
 81
 82
 83
 84
 85
 86
 87
 88
 89
 90
 91
 92
 93
 94
 95
 96
 97
 98
 99
100
101
102
103
104
105
106
107
108
109
110
111
112
113
114
115
116
117
118
119
120
121
122
123
124
125
126
127
128
129
130
131
132
133
134
135
136
137
138
139
140
141
142
143
144
145
146
147
148
149
150
151
152
153
154
155
156
157
158
159
160
161
162
163
164
165
166
167
168
169
170
171
172
173
174
175
176
177
178
179
180
181
182
183
184
185
186
187
188
189
190
191
192
193
194
195
196
197
198
199
200
201
202
203
204
205
206
207
208
209
210
211
212
213
214
215
216
217
218
219
220
221
222
223
224
225
226
227
228
229
230
231
232
233
234
235
236
237
238
239
240
241
242
243
244
245
246
247
248
249
250
251
252
253
254
255
256
257
258
259
260
261
262
263
264
265
266
267
268
269
270
271
272
273
274
275
276
277
278
279
280
281
282
283
284
285
286
287
288
289
290
291
292
293
294
295
296
297
298
299
300
301
302
303
304
305
306
307
308
309
310
311
312
313
314
315
316
317
318
319
320
321
322
323
324
325
326
327
328
329
330
331
332
333
334
335
336
337
338
339
340
341
342
343
344
345
346
347
348
349
350
351
352
353
354
355
356
357
358
359
360
361
362
363
364
365
366
367
368
369
370
371
372
373
374
375
376
377
378
379
380
381
382
383
384
385
386
387
388
389
390
391
392
393
394
395
396
397
398
399
400
401
402
403
404
405
406
407
408
409
410
411
412
413
414
415
416
417
418
419
420
421
422
423
424
425
426
427
428
429
430
431
432
433
434
435
436
437
438
439
440
441
442
443
444
445
446
447
448
449
450
451
452
453
454
455
456
457
458
459
460
461
462
463
464
465
466
467
468
469
470
471
472
473
474
475
476
477
478
479
480
481
482
483
484
485
486
487
488
489
490
491
492
493
494
495
496
497
498
499
500
501
502
503
504
505
506
507
508
509
510
511
512
513
514
515
516
517
518
519
520
521
522
523
524
525
526
527
528
529
530
531
532
533
534
535
536
537
538
539
540
541
542
543
544
545
546
547
548
549
550
551
552
553
554
555
556
557
558
559
560
561
562
563
564
565
566
567
568
569
570
571
572
573
574
575
576
577
578
579
580
581
582
583
584
585
586
587
588
589
590
591
592
593
594
595
596
597
598
599
600
601
602
603
604
605
606
607
608
609
610
611
612
613
614
615
616
617
618
619
620
621
622
623
624
625
626
627
628
629
630
631
632
633
634
635
636
637
638
639
640
641
642
643
644
645
646
647
648
649
650
651
652
653
654
655
656
657
658
659
660
661
662
663
664
665
666
667
668
669
670
671
672
673
674
675
676
677
678
679
680
681
682
683
684
685
686
687
688
689
690
691
692
693
694
695
696
697
698
699
700
701
702
703
704
705
706
707
708
709
710
711
712
713
714
715
716
717
718
719
720
721
722
723
724
725
726
727
728
729
730
731
732
733
734
735
736
737
738
739
740
741
742
743
744
745
746
747
748
749
750
751
752
753
754
755
756
757
758
759
760
761
762
763
764
765
766
767
768
769
770
771
772
773
774
775
776
777
778
779
780
781
782
783
784
785
786
787
788
789
790
791
792
793
794
795
796
797
798
799
800
801
802
803
804
805
806
807
808
809
810
811
812
813
814
815
816
817
818
819
820
821
822
823
824
825
826
827
828
829
830
831
832
833
834
835
836
837
838
839
840
841
842
843
844
845
846
847
848
849
850
851
852
853
854
855
856
857
858
859
860
861
862
863
864
865
866
867
868
869
870
871
872
873
874
875
876
877
878
879
880
881
882
883
884
885
886
887
888
889
890
891
892
893
894
895
896
897
898
899
900
901
902
903
904
/**
 * @brief An AVLTree-based map implementation
 * @details The map is sorted according to the natural ordering of its
 *  keys or by a {@code Compare} function provided; This implementation
 *  provides guaranteed log(n) time cost for the contains, get, insert
 *  and remove operations.
 */

#ifndef AVLTREE_MAP_HPP
#define AVLTREE_MAP_HPP

#include <cassert>
#include <cstddef>
#include <cstdint>
#include <functional>
#include <memory>
#include <stack>
#include <utility>
#include <vector>

/**
 * An AVLTree-based map implementation
 * https://en.wikipedia.org/wiki/AVL_tree
 * @tparam Key the type of keys maintained by this map
 * @tparam Value the type of mapped values
 * @tparam Compare
 */
template <typename Key, typename Value, typename Compare = std::less<Key> >
class AvlTreeMap {
 private:
  using USize = size_t;
  using Factor = int64_t;

  Compare compare = Compare();

 public:
  struct Entry {
    Key key;
    Value value;

    bool operator==(const Entry &rhs) const noexcept {
      return this->key == rhs.key && this->value == rhs.value;
    }

    bool operator!=(const Entry &rhs) const noexcept {
      return this->key != rhs.key || this->value != rhs.value;
    }
  };

 private:
  struct Node {
    using Ptr = std::shared_ptr<Node>;
    using Provider = const std::function<Ptr(void)> &;
    using Consumer = const std::function<void(const Ptr &)> &;

    Key key;
    Value value{};

    Ptr left = nullptr;
    Ptr right = nullptr;

    USize height = 1;

    explicit Node(Key k) : key(std::move(k)) {}

    explicit Node(Key k, Value v) : key(std::move(k)), value(std::move(v)) {}

    ~Node() = default;

    inline bool isLeaf() const noexcept {
      return this->left == nullptr && this->right == nullptr;
    }

    inline void updateHeight() noexcept {
      if (this->isLeaf()) {
        this->height = 1;
      } else if (this->left == nullptr) {
        this->height = this->right->height + 1;
      } else if (this->right == nullptr) {
        this->height = this->left->height + 1;
      } else {
        this->height = std::max(left->height, right->height) + 1;
      }
    }

    inline Factor factor() const noexcept {
      if (this->isLeaf()) {
        return 0;
      } else if (this->left == nullptr) {
        return (Factor)this->right->height;
      } else if (this->right == nullptr) {
        return (Factor) - this->left->height;
      } else {
        return (Factor)(this->right->height - this->left->height);
      }
    }

    inline Entry entry() const { return Entry{key, value}; }

    static Ptr from(const Key &k) { return std::make_shared<Node>(Node(k)); }

    static Ptr from(const Key &k, const Value &v) {
      return std::make_shared<Node>(Node(k, v));
    }
  };

  using NodePtr = typename Node::Ptr;
  using ConstNodePtr = const NodePtr &;
  using NodeProvider = typename Node::Provider;
  using NodeConsumer = typename Node::Consumer;

  NodePtr root = nullptr;
  USize count = 0;

  using K = const Key &;
  using V = const Value &;

 public:
  using EntryList = std::vector<Entry>;
  using KeyValueConsumer = const std::function<void(K, V)> &;
  using MutKeyValueConsumer = const std::function<void(K, Value &)> &;
  using KeyValueFilter = const std::function<bool(K, V)> &;

  class NoSuchMappingException : protected std::exception {
   private:
    const char *message;

   public:
    explicit NoSuchMappingException(const char *msg) : message(msg) {}

    const char *what() const noexcept override { return message; }
  };

  AvlTreeMap() noexcept = default;

  /**
   * Returns the number of entries in this map.
   * @return size_t
   */
  inline USize size() const noexcept { return this->count; }

  /**
   * Returns true if this collection contains no elements.
   * @return bool
   */
  inline bool empty() const noexcept { return this->count == 0; }

  /**
   * Removes all of the elements from this map.
   */
  void clear() noexcept {
    this->root = nullptr;
    this->count = 0;
  }

  /**
   * Returns the value to which the specified key is mapped; If this map
   * contains no mapping for the key, a {@code NoSuchMappingException} will
   * be thrown.
   * @param key
   * @return AvlTreeMap<Key, Value>::Value
   * @throws NoSuchMappingException
   */
  Value get(K key) const {
    if (this->root == nullptr) {
      throw NoSuchMappingException("Invalid key");
    } else {
      NodePtr node = this->getNode(this->root, key);
      if (node != nullptr) {
        return node->value;
      } else {
        throw NoSuchMappingException("Invalid key");
      }
    }
  }

  /**
   * Returns the value to which the specified key is mapped; If this map
   * contains no mapping for the key, a new mapping with a default value
   * will be inserted.
   * @param key
   * @return AvlTreeMap<Key, Value>::Value &
   */
  Value &getOrDefault(K key) {
    if (this->root == nullptr) {
      this->root = Node::from(key);
      this->count += 1;
      return this->root->value;
    } else {
      return this
          ->getNodeOrProvide(this->root, key,
                             [&key]() { return Node::from(key); })
          ->value;
    }
  }

  /**
   * Returns true if this map contains a mapping for the specified key.
   * @param key
   * @return bool
   */
  bool contains(K key) const {
    return this->getNode(this->root, key) != nullptr;
  }

  /**
   * Associates the specified value with the specified key in this map.
   * @param key
   * @param value
   */
  void insert(K key, V value) {
    if (this->root == nullptr) {
      this->root = Node::from(key, value);
      this->count += 1;
    } else {
      this->insert(this->root, key, value);
    }
  }

  /**
   * If the specified key is not already associated with a value, associates
   * it with the given value and returns true, else returns false.
   * @param key
   * @param value
   * @return bool
   */
  bool insertIfAbsent(K key, V value) {
    USize sizeBeforeInsertion = this->size();
    if (this->root == nullptr) {
      this->root = Node::from(key, value);
      this->count += 1;
    } else {
      this->insert(this->root, key, value, false);
    }
    return this->size() > sizeBeforeInsertion;
  }

  /**
   * If the specified key is not already associated with a value, associates
   * it with the given value and returns the value, else returns the associated
   * value.
   * @param key
   * @param value
   * @return
   */
  Value &getOrInsert(K key, V value) {
    if (this->root == nullptr) {
      this->root = Node::from(key, value);
      this->count += 1;
      return root->value;
    } else {
      NodePtr node = getNodeOrProvide(this->root, key,
                                      [&]() { return Node::from(key, value); });
      return node->value;
    }
  }

  Value operator[](K key) const { return this->get(key); }

  Value &operator[](K key) { return this->getOrDefault(key); }

  /**
   * Removes the mapping for a key from this map if it is present;
   * Returns true if the mapping is present else returns false
   * @param key the key of the mapping
   * @return bool
   */
  bool remove(K key) {
    if (this->root == nullptr) {
      return false;
    } else {
      return this->remove(this->root, key, [](ConstNodePtr) {});
    }
  }

  /**
   * Removes the mapping for a key from this map if it is present and returns
   * the value which is mapped to the key; If this map contains no mapping for
   * the key, a {@code NoSuchMappingException} will be thrown.
   * @param key
   * @return AvlTreeMap<Key, Value>::Value
   * @throws NoSuchMappingException
   */
  Value getAndRemove(K key) {
    Value result;
    NodeConsumer action = [&](ConstNodePtr node) { result = node->value; };

    if (root == nullptr) {
      throw NoSuchMappingException("Invalid key");
    } else {
      if (remove(this->root, key, action)) {
        return result;
      } else {
        throw NoSuchMappingException("Invalid key");
      }
    }
  }

  /**
   * Gets the entry corresponding to the specified key; if no such entry
   * exists, returns the entry for the least key greater than the specified
   * key; if no such entry exists (i.e., the greatest key in the Tree is less
   * than the specified key), a {@code NoSuchMappingException} will be thrown.
   * @param key
   * @return AvlTreeMap<Key, Value>::Entry
   * @throws NoSuchMappingException
   */
  Entry getCeilingEntry(K key) const {
    if (this->root == nullptr) {
      throw NoSuchMappingException("No ceiling entry in this map");
    }

    NodePtr node = this->root;
    std::stack<NodePtr> ancestors;

    while (node != nullptr) {
      if (key == node->key) {
        return node->entry();
      }

      if (compare(key, node->key)) {
        /* key < node->key */
        if (node->left != nullptr) {
          ancestors.push(node);
          node = node->left;
        } else {
          return node->entry();
        }
      } else {
        /* key > node->key */
        if (node->right != nullptr) {
          ancestors.push(node);
          node = node->right;
        } else {
          if (ancestors.empty()) {
            throw NoSuchMappingException("No ceiling entry in this map");
          }

          NodePtr parent = ancestors.top();
          ancestors.pop();

          while (node == parent->right) {
            node = parent;
            if (!ancestors.empty()) {
              parent = ancestors.top();
              ancestors.pop();
            } else {
              throw NoSuchMappingException("No ceiling entry in this map");
            }
          }

          return parent->entry();
        }
      }
    }

    throw NoSuchMappingException("No ceiling entry in this map");
  }

  /**
   * Gets the entry corresponding to the specified key; if no such entry exists,
   * returns the entry for the greatest key less than the specified key;
   * if no such entry exists, a {@code NoSuchMappingException} will be thrown.
   * @param key
   * @return AvlTreeMap<Key, Value>::Entry
   * @throws NoSuchMappingException
   */
  Entry getFloorEntry(K key) const {
    if (this->root == nullptr) {
      throw NoSuchMappingException("No floor entry exists in this map");
    }

    NodePtr node = this->root;
    std::stack<NodePtr> ancestors;

    while (node != nullptr) {
      if (key == node->key) {
        return node->entry();
      }

      if (compare(key, node->key)) {
        /* key < node->key */
        if (node->left != nullptr) {
          ancestors.push(node);
          node = node->left;
        } else {
          if (ancestors.empty()) {
            throw NoSuchMappingException("No floor entry exists in this map");
          }

          NodePtr parent = ancestors.top();
          ancestors.pop();

          while (node == parent->left) {
            node = parent;
            if (!ancestors.empty()) {
              parent = ancestors.top();
              ancestors.pop();
            } else {
              throw NoSuchMappingException("No floor entry exists in this map");
            }
          }

          return parent->entry();
        }
      } else {
        /* key > node->key */
        if (node->right != nullptr) {
          ancestors.push(node);
          node = node->right;
        } else {
          return node->entry();
        }
      }
    }

    throw NoSuchMappingException("No floor entry exists in this map");
  }

  /**
   * Gets the entry for the least key greater than the specified
   * key; if no such entry exists, returns the entry for the least
   * key greater than the specified key; if no such entry exists,
   * a {@code NoSuchMappingException} will be thrown.
   * @param key
   * @return AvlTreeMap<Key, Value>::Entry
   * @throws NoSuchMappingException
   */
  Entry getHigherEntry(K key) {
    if (this->root == nullptr) {
      throw NoSuchMappingException("No higher entry exists in this map");
    }

    NodePtr node = this->root;
    std::stack<NodePtr> ancestors;

    while (node != nullptr) {
      if (compare(key, node->key)) {
        /* key < node->key */
        if (node->left != nullptr) {
          ancestors.push(node);
          node = node->left;
        } else {
          return node->entry();
        }
      } else {
        /* key >= node->key */
        if (node->right != nullptr) {
          ancestors.push(node);
          node = node->right;
        } else {
          if (ancestors.empty()) {
            throw NoSuchMappingException("No higher entry exists in this map");
          }

          NodePtr parent = ancestors.top();
          ancestors.pop();

          while (node == parent->right) {
            node = parent;
            if (!ancestors.empty()) {
              parent = ancestors.top();
              ancestors.pop();
            } else {
              throw NoSuchMappingException(
                  "No higher entry exists in this map");
            }
          }

          return parent->entry();
        }
      }
    }

    throw NoSuchMappingException("No higher entry exists in this map");
  }

  /**
   * Returns the entry for the greatest key less than the specified key; if
   * no such entry exists (i.e., the least key in the Tree is greater than
   * the specified key), a {@code NoSuchMappingException} will be thrown.
   * @param key
   * @return AvlTreeMap<Key, Value>::Entry
   * @throws NoSuchMappingException
   */
  Entry getLowerEntry(K key) const {
    if (this->root == nullptr) {
      throw NoSuchMappingException("No lower entry exists in this map");
    }

    NodePtr node = this->root;
    std::stack<NodePtr> ancestors;

    while (node != nullptr) {
      if (compare(key, node->key) || key == node->key) {
        /* key <= node->key */
        if (node->left != nullptr) {
          ancestors.push(node);
          node = node->left;
        } else {
          if (ancestors.empty()) {
            throw NoSuchMappingException("No lower entry exists in this map");
          }

          NodePtr parent = ancestors.top();
          ancestors.pop();

          while (node == parent->left) {
            node = parent;
            if (!ancestors.empty()) {
              parent = ancestors.top();
              ancestors.pop();
            } else {
              throw NoSuchMappingException("No lower entry exists in this map");
            }
          }

          return parent->entry();
        }
      } else {
        /* key > node->key */
        if (node->right != nullptr) {
          ancestors.push(node);
          node = node->right;
        } else {
          return node->entry();
        }
      }
    }

    throw NoSuchMappingException("No lower entry exists in this map");
  }

  /**
   * Remove all entries that satisfy the filter condition.
   * @param filter
   */
  void removeAll(KeyValueFilter filter) {
    std::vector<Key> keys;
    this->inorderTraversal([&](ConstNodePtr node) {
      if (filter(node->key, node->value)) {
        keys.push_back(node->key);
      }
    });
    for (const Key &key : keys) {
      this->remove(key);
    }
  }

  /**
   * Performs the given action for each key and value entry in this map.
   * The value is immutable for the action.
   * @param action
   */
  void forEach(KeyValueConsumer action) const {
    this->inorderTraversal(
        [&](ConstNodePtr node) { action(node->key, node->value); });
  }

  /**
   * Performs the given action for each key and value entry in this map.
   * The value is mutable for the action.
   * @param action
   */
  void forEachMut(MutKeyValueConsumer action) {
    this->inorderTraversal(
        [&](ConstNodePtr node) { action(node->key, node->value); });
  }

  /**
   * Returns a list containing all of the entries in this map.
   * @return AvlTreeMap<Key, Value>::EntryList
   */
  EntryList toEntryList() const {
    EntryList entryList;
    this->inorderTraversal(
        [&](ConstNodePtr node) { entryList.push_back(node->entry()); });
    return entryList;
  }

 private:
  static NodePtr rotateLeft(ConstNodePtr node) {
    // clang-format off
    //     |                       |
    //     N                       S
    //    / \     l-rotate(N)     / \
    //   L   S    ==========>    N   R
    //      / \                 / \
    //     M   R               L   M
    NodePtr successor = node->right;
    // clang-format on
    node->right = successor->left;
    successor->left = node;

    node->updateHeight();
    successor->updateHeight();

    return successor;
  }

  static NodePtr rotateRight(ConstNodePtr node) {
    // clang-format off
    //       |                   |
    //       N                   S
    //      / \   r-rotate(N)   / \
    //     S   R  ==========>  L   N
    //    / \                     / \
    //   L   M                   M   R
    NodePtr successor = node->left;
    // clang-format on
    node->left = successor->right;
    successor->right = node;

    node->updateHeight();
    successor->updateHeight();

    return successor;
  }

  static void swapNode(NodePtr &lhs, NodePtr &rhs) {
    std::swap(lhs->key, rhs->key);
    std::swap(lhs->value, rhs->value);
    std::swap(lhs, rhs);
  }

  static void fixBalance(NodePtr &node) {
    if (node->factor() < -1) {
      if (node->left->factor() < 0) {
        // clang-format off
        //  Left-Left Case
        //       |
        //       C                 |
        //      /   r-rotate(C)    B
        //     B    ==========>   / \
        //    /                  A   C
        //   A
        // clang-format on
        node = rotateRight(node);
      } else {
        // clang-format off
        //  Left-Right Case
        //     |                   |
        //     C                   C                 |
        //    /   l-rotate(A)     /   r-rotate(C)    B
        //   A    ==========>    B    ==========>   / \
        //    \                 /                  A   C
        //     B               A
        // clang-format on
        node->left = rotateLeft(node->left);
        node = rotateRight(node);
      }
    } else if (node->factor() > 1) {
      if (node->right->factor() > 0) {
        // clang-format off
        //  Right-Right Case
        //   |
        //   C                     |
        //    \     l-rotate(C)    B
        //     B    ==========>   / \
        //      \                A   C
        //       A
        // clang-format on
        node = rotateLeft(node);
      } else {
        // clang-format off
        //  Right-Left Case
        //   |                 |
        //   A                 A                     |
        //    \   r-rotate(C)   \     l-rotate(A)    B
        //     C  ==========>    B    ==========>   / \
        //    /                   \                A   C
        //   B                     C
        // clang-format on
        node->right = rotateRight(node->right);
        node = rotateLeft(node);
      }
    }
  }

  NodePtr getNodeOrProvide(NodePtr &node, K key, NodeProvider provide) {
    assert(node != nullptr);

    if (key == node->key) {
      return node;
    }

    assert(key != node->key);

    NodePtr result;

    if (compare(key, node->key)) {
      /* key < node->key */
      if (node->left == nullptr) {
        result = node->left = provide();
        this->count += 1;
        node->updateHeight();
      } else {
        result = getNodeOrProvide(node->left, key, provide);
        node->updateHeight();
        fixBalance(node);
      }
    } else {
      /* key > node->key */
      if (node->right == nullptr) {
        result = node->right = provide();
        this->count += 1;
        node->updateHeight();
      } else {
        result = getNodeOrProvide(node->right, key, provide);
        node->updateHeight();
        fixBalance(node);
      }
    }

    return result;
  }

  NodePtr getNode(ConstNodePtr node, K key) const {
    assert(node != nullptr);

    if (key == node->key) {
      return node;
    }

    if (compare(key, node->key)) {
      /* key < node->key */
      return node->left == nullptr ? nullptr : getNode(node->left, key);
    } else {
      /* key > node->key */
      return node->right == nullptr ? nullptr : getNode(node->right, key);
    }
  }

  void insert(NodePtr &node, K key, V value, bool replace = true) {
    assert(node != nullptr);

    if (key == node->key) {
      if (replace) {
        node->value = value;
      }
      return;
    }

    assert(key != node->key);

    if (compare(key, node->key)) {
      /* key < node->key */
      if (node->left == nullptr) {
        node->left = Node::from(key, value);
        this->count += 1;
        node->updateHeight();
      } else {
        insert(node->left, key, value, replace);
        node->updateHeight();
        fixBalance(node);
      }
    } else {
      /* key > node->key */
      if (node->right == nullptr) {
        node->right = Node::from(key, value);
        this->count += 1;
        node->updateHeight();
      } else {
        insert(node->right, key, value, replace);
        node->updateHeight();
        fixBalance(node);
      }
    }
  }

  bool remove(NodePtr &node, K key, NodeConsumer action) {
    assert(node != nullptr);

    if (key != node->key) {
      if (compare(key, node->key)) {
        /* key < node->key */
        NodePtr &left = node->left;
        if (left != nullptr && remove(left, key, action)) {
          node->updateHeight();
          fixBalance(node);
          return true;
        } else {
          return false;
        }
      } else {
        /* key > node->key */
        NodePtr &right = node->right;
        if (right != nullptr && remove(right, key, action)) {
          node->updateHeight();
          fixBalance(node);
          return true;
        } else {
          return false;
        }
      }
    }

    assert(key == node->key);
    action(node);

    if (node->isLeaf()) {
      // Case 1: no child
      node = nullptr;
    } else if (node->right == nullptr) {
      // clang-format off
      // Case 2: left child only
      //     P
      //     |  remove(N)  P
      //     N  ========>  |
      //    /              L
      //   L
      // clang-format on
      node = node->left;
      node->updateHeight();
    } else if (node->left == nullptr) {
      // clang-format off
      // Case 3: right child only
      //   P
      //   |    remove(N)  P
      //   N    ========>  |
      //    \              R
      //     R
      // clang-format on
      node = node->right;
      node->updateHeight();
    } else if (node->right->left == nullptr) {
      // clang-format off
      // Case 4: both left and right child, right child has no left child
      //    |                 |
      //    N    remove(N)    R
      //   / \   ========>   /
      //  L   R             L
      // clang-format on
      NodePtr right = node->right;
      swapNode(node, right);
      right->right = node->right;
      node = right;
      node->updateHeight();
      fixBalance(node);
    } else {
      // clang-format off
      // Case 5: both left and right child, right child is not a leaf
      //   Step 1. find the node N with the smallest key
      //           and its parent P on the right subtree
      //   Step 2. swap S and N
      //   Step 3. remove node N like Case 1 or Case 3
      //   Step 4. update height for P
      //     |                  |
      //     N                  S                 |
      //    / \                / \                S
      //   L  ..  swap(N, S)  L  ..  remove(N)   / \
      //       |  =========>      |  ========>  L  ..
      //       P                  P                 |
      //      / \                / \                P
      //     S  ..              N  ..              / \
      //      \                  \                R  ..
      //       R                  R
      // clang-format on

      // Step 1
      NodePtr successor = node->right;
      NodePtr parent = node;
      while (successor->left != nullptr) {
        parent = successor;
        successor = parent->left;
      }
      // Step 2
      swapNode(node, successor);
      // Step 3
      parent->left = node->right;
      // Restore node
      node = successor;
      // Step 4
      parent->updateHeight();
    }

    this->count -= 1;
    return true;
  }

  void inorderTraversal(NodeConsumer action) const {
    if (this->root == nullptr) {
      return;
    }

    std::stack<NodePtr> stack;
    NodePtr node = this->root;

    while (node != nullptr || !stack.empty()) {
      while (node != nullptr) {
        stack.push(node);
        node = node->left;
      }
      if (!stack.empty()) {
        node = stack.top();
        stack.pop();
        action(node);
        node = node->right;
      }
    }
  }
};

#endif  // AVLTREE_MAP_HPP

其他资料

AVL Tree Visualization 可以观察 AVL 树维护平衡的过程.

维基百科 -- AVL 树