霍夫曼树
树的带权路径长度
设二叉树具有 𝑛
个带权叶结点,从根结点到各叶结点的路径长度与相应叶节点权值的乘积之和称为 树的带权路径长度(Weighted Path Length of Tree,WPL).
设 𝑤𝑖
为二叉树第 𝑖
个叶结点的权值,𝑙𝑖
为从根结点到第 𝑖
个叶结点的路径长度,则 WPL 计算公式如下:
𝑊𝑃𝐿=𝑛∑𝑖=1𝑤𝑖𝑙𝑖

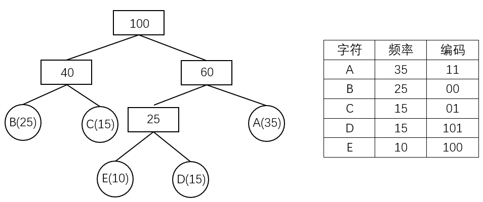
如上图所示,其 WPL 计算过程与结果如下:
𝑊𝑃𝐿=2∗2+3∗2+4∗2+7∗2=4+6+8+14=32
结构
对于给定一组具有确定权值的叶结点,可以构造出不同的二叉树,其中,WPL 最小的二叉树 称为 霍夫曼树(Huffman Tree).
对于霍夫曼树来说,其叶结点权值越小,离根越远,叶结点权值越大,离根越近,此外其仅有叶结点的度为 0
,其他结点度均为 2
.
霍夫曼算法
霍夫曼算法用于构造一棵霍夫曼树,算法步骤如下:
- 初始化:由给定的 𝑛
个权值构造 𝑛
棵只有一个根节点的二叉树,得到一个二叉树集合 𝐹
. - 选取与合并:从二叉树集合 𝐹
中选取根节点权值 最小的两棵 二叉树分别作为左右子树构造一棵新的二叉树,这棵新二叉树的根节点的权值为其左、右子树根结点的权值和. - 删除与加入:从 𝐹
中删除作为左、右子树的两棵二叉树,并将新建立的二叉树加入到 𝐹
中. - 重复 2、3 步,当集合中只剩下一棵二叉树时,这棵二叉树就是霍夫曼树.

正确性证明
引理
最优前缀编码树(Huffman 树)中的权值最小的两个叶结点总是最深的叶结点,并且将这两个结点调整为兄弟结点至少不会破坏编码树的最优性.
证明
我们采用反证法来证明该命题.假设在一棵最优前缀编码树中,存在两个权值最小的叶结点,它们不是最深的叶结点.设这两个结点为 𝑎
和 𝑏
,且它们的深度小于某个最深的叶结点.对于这个最深的叶结点 𝑐
,我们可以将 𝑎
和 𝑐
交换位置,或将 𝑏
和 𝑐
交换位置.由于 Huffman 算法保证树的每一层按权值最小的叶结点合并,因此在交换后,树的带权路径长度(WPL)将减少.由此矛盾可得出假设不成立,因此权值最小的两个叶结点必须是最深的叶结点.
接下来,假设这两个权值最小的叶结点分别为 𝑎
和 𝑏
,它们的深度相同.如果在一棵最优前缀编码树中这两个结点不是兄弟结点,假设存在其他结点 𝑐
和 𝑑
与 𝑎
和 𝑏
分别是兄弟结点(假设 𝑎
和 𝑐
是兄弟结点,𝑏
和 𝑑
是兄弟结点).我们可以将 𝑎
和 𝑏
合并为一个子树.
- 如果 𝑎
和 𝑏
合并后的权值之和小于 𝑐
或 𝑑
的权值,那么我们可以将合并后的子树与权值较大的结点(如 𝑐
或 𝑑
)合并,形成新的子树,WPL 会减少. - 如果 𝑎
和 𝑏
的权值之和不小于 𝑐
和 𝑑
的权值,我们可以直接将 𝑎
和 𝑏
调整为兄弟结点,𝑐
和 𝑑
作为另一个兄弟结点,WPL 不会增加.
因此,经过这样的调整,最优性不会被破坏,得证.
定理
Huffman 算法得到的前缀编码树是最优前缀编码树.
证明
我们使用数学归纳法来证明该定理.
- 基本情况: 当字母数 𝑛 =2
时,显然,直接将两个字母合并成一棵树即为最优编码树. - 归纳假设: 假设对于字母数 𝑛 =𝑘
(𝑘 ≥2
)时,Huffman 算法能够得到最优前缀编码树. - 归纳步骤: 对于字母数 𝑛 =𝑘 +1
,我们从 𝑘 +1
个字母中选出两个权值最小的字母,将它们合并为一棵子树,子树的根作为虚拟字母(虚拟结点).根据引理可知,这一操作不会破坏前缀编码树的最优性.此时,虚拟字母与剩下的 𝑘
个字母一同构成 𝑘 +1
个字母,根据归纳假设,当字母数为 𝑘
时,Huffman 算法能够得到最优前缀编码树.
因此,通过数学归纳法,Huffman 算法对于任意字母数 𝑛
都能够得到最优前缀编码树,得证.
霍夫曼编码
在进行程序设计时,通常给每一个字符标记一个单独的代码来表示一组字符,即 编码.
在进行二进制编码时,假设所有的代码都等长,那么表示 𝑛
个不同的字符需要 ⌈log2𝑛⌉
位,称为 等长编码.
如果每个字符的 使用频率相等,那么等长编码无疑是空间效率最高的编码方法,而如果字符出现的频率不同,则可以让频率高的字符采用尽可能短的编码,频率低的字符采用尽可能长的编码,来构造出一种 不等长编码,从而获得更好的空间效率.
在设计不等长编码时,要考虑解码的唯一性,如果一组编码中任一编码都不是其他任何一个编码的前缀,那么称这组编码为 前缀编码,其保证了编码被解码时的唯一性.
霍夫曼树可用于构造 最短的前缀编码,即 霍夫曼编码(Huffman Code),其构造步骤如下:
- 设需要编码的字符集为:𝑑1,𝑑2,…,𝑑𝑛
,他们在字符串中出现的频率为:𝑤1,𝑤2,…,𝑤𝑛
. - 以 𝑑1,𝑑2,…,𝑑𝑛
作为叶结点,𝑤1,𝑤2,…,𝑤𝑛
作为叶结点的权值,构造一棵霍夫曼树. - 规定哈夫曼编码树的左分支代表 0
,右分支代表 1
,则从根结点到每个叶结点所经过的路径组成的 0
、1
序列即为该叶结点对应字符的编码.

示例代码
霍夫曼树的构建
1
2
3
4
5
6
7
8
9
10
11
12
13
14
15
16
17
18
19
20
21
22
23
24
25
26
27
28
29
30
31
32
33
34
35
36
37
38
39
40
41
42
43
44
45
46
47
48
49
50
51
52
53 | struct HNode {
int weight;
HNode *lchild, *rchild;
};
using Htree = HNode *;
Htree createHuffmanTree(int arr[], int n) {
Htree forest[N];
Htree root = NULL;
for (int i = 0; i < n; i++) { // 将所有点存入森林
Htree temp;
temp = (Htree)malloc(sizeof(HNode));
temp->weight = arr[i];
temp->lchild = temp->rchild = NULL;
forest[i] = temp;
}
for (int i = 1; i < n; i++) { // n-1 次循环建哈夫曼树
int minn = -1, minnSub; // minn 为最小值树根下标,minnsub 为次小值树根下标
for (int j = 0; j < n; j++) {
if (forest[j] != NULL && minn == -1) {
minn = j;
continue;
}
if (forest[j] != NULL) {
minnSub = j;
break;
}
}
for (int j = minnSub; j < n; j++) { // 根据 minn 与 minnSub 赋值
if (forest[j] != NULL) {
if (forest[j]->weight < forest[minn]->weight) {
minnSub = minn;
minn = j;
} else if (forest[j]->weight < forest[minnSub]->weight) {
minnSub = j;
}
}
}
// 建新树
root = (Htree)malloc(sizeof(HNode));
root->weight = forest[minn]->weight + forest[minnSub]->weight;
root->lchild = forest[minn];
root->rchild = forest[minnSub];
forest[minn] = root; // 指向新树的指针赋给 minn 位置
forest[minnSub] = NULL; // minnSub 位置为空
}
return root;
}
|
计算构成霍夫曼树的 WPL
1
2
3
4
5
6
7
8
9
10
11
12
13
14
15
16
17
18
19
20 | struct HNode {
int weight;
HNode *lchild, *rchild;
};
using Htree = HNode *;
int getWPL(Htree root, int len) { // 递归实现,对于已经建好的霍夫曼树,求 WPL
if (root == NULL)
return 0;
else {
if (root->lchild == NULL && root->rchild == NULL) // 叶节点
return root->weight * len;
else {
int left = getWPL(root->lchild, len + 1);
int right = getWPL(root->rchild, len + 1);
return left + right;
}
}
}
|
对于未建好的霍夫曼树,直接求其 WPL
1
2
3
4
5
6
7
8
9
10
11
12
13
14
15
16 | int getWPL(int arr[], int n) { // 对于未建好的霍夫曼树,直接求其 WPL
priority_queue<int, vector<int>, greater<int>> huffman; // 小根堆
for (int i = 0; i < n; i++) huffman.push(arr[i]);
int res = 0;
for (int i = 0; i < n - 1; i++) {
int x = huffman.top();
huffman.pop();
int y = huffman.top();
huffman.pop();
int temp = x + y;
res += temp;
huffman.push(temp);
}
return res;
}
|
对于给定序列,计算霍夫曼编码
1
2
3
4
5
6
7
8
9
10
11
12
13
14
15
16
17
18
19
20
21 | struct HNode {
int weight;
HNode *lchild, *rchild;
};
using Htree = HNode *;
void huffmanCoding(Htree root, int len, int arr[]) { // 计算霍夫曼编码
if (root != NULL) {
if (root->lchild == NULL && root->rchild == NULL) {
printf("结点为 %d 的字符的编码为: ", root->weight);
for (int i = 0; i < len; i++) printf("%d", arr[i]);
printf("\n");
} else {
arr[len] = 0;
huffmanCoding(root->lchild, len + 1, arr);
arr[len] = 1;
huffmanCoding(root->rchild, len + 1, arr);
}
}
}
|
本页面最近更新:2026/1/7 08:56:54,更新历史
发现错误?想一起完善? 在 GitHub 上编辑此页!
本页面贡献者:Tiphereth-A, Alex-McAvoy, lingkerio, 1Wizzy, c-forrest, Ir1d, ksyx, sphcode, StudyingFather
本页面的全部内容在 CC BY-SA 4.0 和 SATA 协议之条款下提供,附加条款亦可能应用